用次磺酰胺的交联反应
导读:
用次磺酰胺的交联反应: B.A.多加德金和V.A.谢尔施纽38发现,当丁钠胶用硫黄和N,N-二乙基苯并噻唑-2-次磺酰胺硫化时,在诱导期内所转化的硫黄量是相同的,不管促进剂存在与否。在这一时间内的活
用次磺酰胺的交联反应:
B.A.多加德金和V.A.谢尔施纽38发现,当丁钠胶用硫黄和N,N-二乙基苯并噻唑-2-次磺酰胺硫化时,在诱导期内所转化的硫黄量是相同的,不管促进剂存在与否。在这一时间内的活化能均为30千卡/克分子。而在诱导期以后真正硫化的活化能只有14千卡/克分子。因此,可以推断次磺酰胺的裂解影响这一反应。这是一个一级反应。
因此,可以假定,在用N,N-二乙基苯并噻唑-2-次磺酰胺的硫化中,其首先而且是速度控制阶段,是促进剂均匀地裂解为2-硫醇基苯并噻唑和二乙胺游离基。这些产物能使橡胶脱氢而成为游离基,结果重新形成2-硫醇基苯并噻唑和二乙胺。就2-硫醇基苯并噻唑而言,然后能与S。环反应而使其以游离基形式开环。换言之,每个N,N-二乙基苯并噻唑-2-次磺酰胺分子能形成两个能与硫黄反应的游离橡胶链游离基,因而形成交联键或产生活化硫。这样,这种体系一旦开始裂解,就有自我促进或自动催化效应。
釰实夫和福田春子用与研究2-硫醇基苯并噻唑类似方式硏究了次磺酰胺与作为模拟物质的二苯基甲烷和硫黄的反应。在160°C下,不加硫黄时,次磺酰胺与二苯基甲烷反应生成2-硫醇基苯并噻唑、二硫化二苯并噻唑、胺、二苯甲硫酮、一硫化二苯并噻唑、二苯甲基-2-苯并噻唑硫化物和四苯基乙烷。
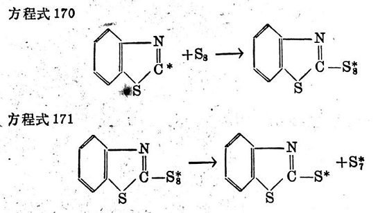
这样,便可以联系W.谢勒和B.A.多加德金的结论,设想其反应过程为方程式155~167。




在有硫黃的情况下,反应产物比较简单。除胺以外,生成产物与二硫化二苯并噻唑与二苯基甲烷及硫黄的反应产物相同,作者由此假定有如下反产过程:诱导反应是次磺酰胺的裂解,相当于方程式155和156,形成的游离基能够使S8环起裂解反应(见方程式168~171)。


还可按方程式147~153进一步反应。
当有丁酸锌存在时,二苯基甲烷与硫黄以及苯并噻唑-2-次磺酰胺反应生成丁酸、胺、硫化铧、2-硫醇基苯并噻唑锌盐、二苯甲硫酮、二苯甲基多硫化物和N-2-苯并噻唑丁酰胺。这些作者认为,按方程式155、160和163引发反应之后,出现以下的反应(见方程式172和173)。


由方程式168和169所形成的硫游离基,进一步按方程式174-177反应。

同样也形成了2-胺基苯并噻唑(方程式178),它进而与丁酸反应,按方程式179生成酰胺。


有趣的是氧对诱导期有显著影响。没有氧时,诱导期最长。在纯氧中,诱导期消失,在蒸汽中,情况也大体如此。因此,B.A.多加德金和VA.谢尔施纽认为过氧化物游离基能加速次磺酰胺的裂解。的确看到对异丙苯过氧化氢能使诱导期缩短的现象。
上述模拟反应非常清楚地表明,次磺酰胺的分解是用苯并噻唑-2-次磺酰胺硫化中的速度控制因素。用次磺酰胺时,硫化起步后就有了2-硫醇基苯并噻唑和有机碱,因此硫化持续阶段的情况与用2-硫醇基苯并噻唑和碱硫化大体相似硫化胶的机械性能以及耐老化性能的水平也相同。
L.C.贝特曼及其同事作了2,6-二甲基辛二烯-2,6与硫黄的反应实验,结果表明在开始反应时能够生成过硫化氢(见方程式180)。

W.谢勒认为硫化开始时形成的过硫化氢能以自动催化的方式介入次磺酰胺的裂解而大大不利于交联。只要有次磺酰胺,过硫化氢就给它提供分解所需的氢。在此期间,伴以交联或环化的双键加成反应不能发生,也就是最初的交联被阻止。此时,过硫化氢转化为过硫化物游离基,可以认为,它与a-次甲基反应再次生成过硫化氢。W.谢勒相信由此形成稳定的聚合物链游离基又形成过硫化物游离基,的共振并再一次与a-次甲基反应,重新生成过硫化氢,而过硫化氢又继续把氢传递绐次磺酰胺。W.谢勒认为次磺酰胺的硫化可用方程式181~192表示。




L.贝特曼及其同事提出的而且由方程式136和137所表示的极化机理,在释放出2-硫醇基苯并噻唑基并与氧化锌反应之后也可能适用于次磺酰胺。
标签: