用对苯醌二肟硫化,曲于生成的对二亚硝基苯是真正的反应物,因而有必要对其交联作用加以详述。
早在1915年,L.阿利桑德利(L. Alessandri)928就指出亚硝基化合物能与橡胶进行反应。G.布鲁内和E.盖格尔(E. Geiger)二人及R.普梅雷尔(R. Pummerer)和W.居德尔(w. Gundel)s等人都说这种反应的结果得到橡胶硝酸灵或异构化橡胶硝酸灵(见方程式317)。普梅雷尔断定异构化橡胶硝酸灵(见结构式70)是最后的产物,这一点是大有争议的。

按照方程式317的反应,一部分亚硝基苯被还原为羟胺。未反应的亚硝基苯和苯基羟胺作用生成氧化偶氮苯(见方程式318),使橡胶变为黄色。

布鲁内和盖格尔发现亚硝基苯酚不能作为硝酸灵加到橡胶上。这一点应该这样解释:亚硝基苯酚大多不是真正的亚硝基化合物,相反,它们往往是邻醌肟的互变异构体(见方程式319)。

但亚硝基苯酚甲醚不能经过互变异构转变为肟,因而容易象亚硝基衍生物那样,通过在橡胶上的加成进行反应(见方程式320),相反,邻醌二肟的形式不会产生这种反应。

可以理解,醌肟实际上不能与橡胶起反应。而是醌肟当混入橡胶并加热时首先进行反应,其基本反应是醌肟氧化为亚硝基衍生物,然后才与橡胶反应(见方程式321)。

据D.L.哈米克(D.L. Hammick)说,对二亚硝基苯不是单分子,而是双分子物质(见结构式71)。

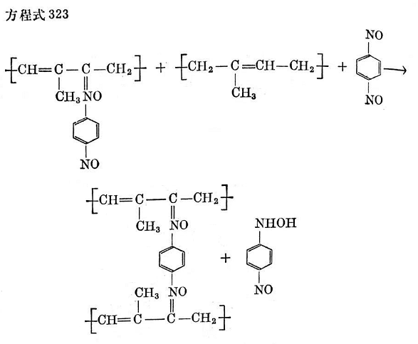
象双官能化合物那样,对二亚硝基苯能以方程式317的方式与两个橡胶烃分子反应,从而发生交联(见方程式322和323)。


由于二亚硝基苯的另一分子作为氧化剂参与反应,在方程式322中,橡胶硝酸灵上保留的游离亚硝基便通过形成三橡胶二硝酸灵而产生交联。生成的对亚硝基苯羟胺转变为互变异构体对苯醌二肟(见方程式324),有氧化剂存在时,它又按方程式321的方式再生成对二亚硝基苯。
但按方程式323的反应,第二个橡胶硝酸灵分子的亚硝基也能作为氧化剂,因而按歧化作用的形式产生交联(见方程式325)。

当用氧化剂(例如二氧化铅或二硫化二苯并噻唑)氧化橡胶硝酸灵羟胺时,由于亚硝基的再生,这一分子可用于进一步交联(见方程式326)。

但是,橡胶硝酸灵的羟胺也能与对二亚硝基苯反应,生成对二亚硝基氧化偶氮苯橡胶硝酸灵(见方程式327),这也是个适于交联的结构。

M.O.福斯特(M.O. Forster)和H.E.菲尔兹(H.EFierz)曾议论象结构式72的环状过氧化对醌二肟才是对二亚硝基苯的真正结构。

按照这个结构,第一步应该是过氧化物分解并形成双游离基,然后与橡胶反应。但从立构化学来看,这样的结构未必可靠。
由于能形成醌的间二亚硝基苯也是极活泼的交联剂,所以橡胶用对二亚硝基苯交联,不能以生成醌型结构来说明。因此,对二亚硝基苯通过对苯醌二肟变成活泼的形式的说法是不可能的
对二硝基苯的作用应与对二亚硝基苯的交联相似,因为由对二硝基苯形成对二亚硝基苯,它们实际上几乎已经不作交联剂。
而多亚硝基化合物作为热炼工艺的改性剂还有一定的意义。