3.4.2氟橡胶的交联
3.4.2.1氟橡胶的交联工艺
多元胺也是氟橡胶的主要交联剂。
普通二胺或多胺在氟橡胶中硫化起步快,以致降低胶料的加工安全性。一般来说,最符合技术要求的硫化剂和促进剂,是在高温下惰性分子分裂为活性组份后引发硫化,从而迟延硫化起步的物质,这一点是不会错的。为此,已经相应地出现了隐蔽的多元胺,它们以环状的氨基甲酸盐为代表,其中六次甲基二胺氨基甲酸盐和乙撑二胺氨基甲酸盐也是上面说过的丙烯酸酯橡胶的交联体系。这些交联剂直到很高温度时才放出胺,所以它们比胺本身较为安全。属于不规则结构的N.,N-二肉桂义-1,6-己二胺,其反应的胺被隐蔽为雪夫碱。
一般胺交联剂的用量为1~1.5份(按氟橡胶重量为100计)。可是,如果胶料中含有矿物填充剂,应増加到15~20份。乙撑二胺氨基甲酸盐的加工安全性比六甲撑二胺氨基甲酸盐好,较易混合,而且硫化起步也较退。在高粘度的氟橡胶中,这些优点更为明显。根据胶料配方,上述这些二胺对某些用途的胶料仍感硫化太快。遇到这种情况时,可用双水杨丙撑二胺(2.0重量份)作防焦剂,同时减少胺交联剂用量,最多不超过1.0份。用六次甲基二胺氨基甲酸盐或乙撑一胺氨基甲酸盐交联的硫化胶很容易产生气孔,而用N,N-二-肉桂又-1,6-己二胺则不易出现气孔。
氟橡胶用二胺类硫化时,也要使用金属氧化物。这时可用氧化镁、氧化锌加碱式亚磷酸铅或铅丹。除了能活化硫化外,金属氧化物还能作酸的接受体,用以束缚硫化期间和产品在高温下使用时经常生成的氟化氢。胶料中没有金属氧化物,就不能得到高度硫化。用氧化镁(15份)加工的胶料抗焦烧性好,耐热性更好,但不特别耐酸。用铅丹(15份)的硫化胶耐酸性很好,但很容易焦烧。用氧化锌和碱式亚磷酸铅各10份的硫化体系,赋予最好的加工安全性和最小的焦烧倾向,其耐酸性介于用氧化镁和用铅丹两者之间。
用胺硫化,硫化胶的机械性能和耐老化以及耐压缩变形性都很好。过氧化物(参考3.2.1.8)也赋予硫化胶极好的物理机械性能和耐老化性能,但耐压缩变形性较差。过氧化物硫化的主要优点是硫化胶耐酸。用有机过氧化物硫化的氟橡胶硫化胶甚至还耐硝酸蒸气。氟橡胶用高能辐射交联,将在3.12.5节中详细叙述。
3.4.2.2氟橡胶交联的化学机理
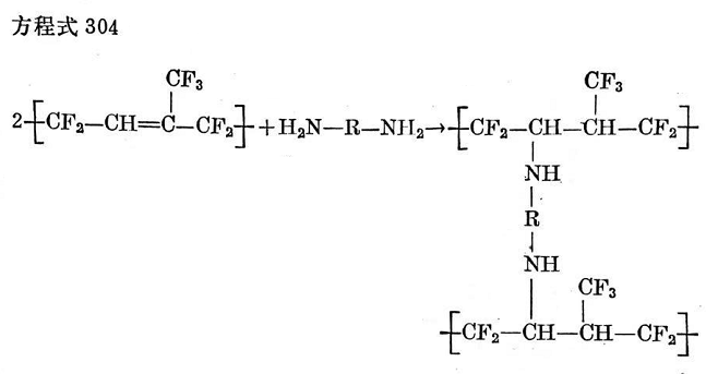
关于氟橡胶用胺交联的机理,目前有各种不同见解”3。按照第一种理论,由于碱的催化作用,从聚合物链中放出氟化氢,而留下不饱和键(见方程式303):

实际交联是由一个多元胺与不同的聚合物链中生成的至少二个双键结合而成(见方程式304):

根据第二种理论,胺被聚合物链在连有CF3基的碳原子上所氟烷基化,并由此分裂出氟化氢(见方程式305)。胺的加成发生在受CF3基的影响而氟原子连接特别不稳定的位置上。


第二个胺基的重烷基化便引起交联。